Previous Next

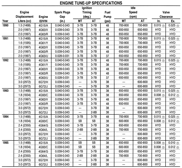
Idle Speed

The idle speed is factory set and usually no adjustments are ever necessary. If an adjustment becomes necessary, first check that the spark plugs, injectors, idle air control servo and compression pressure are all normal.

Data from various sensors and switches are used by the ECU to determine the proper fuel/air mixture for optimal engine performance.

Previous Next