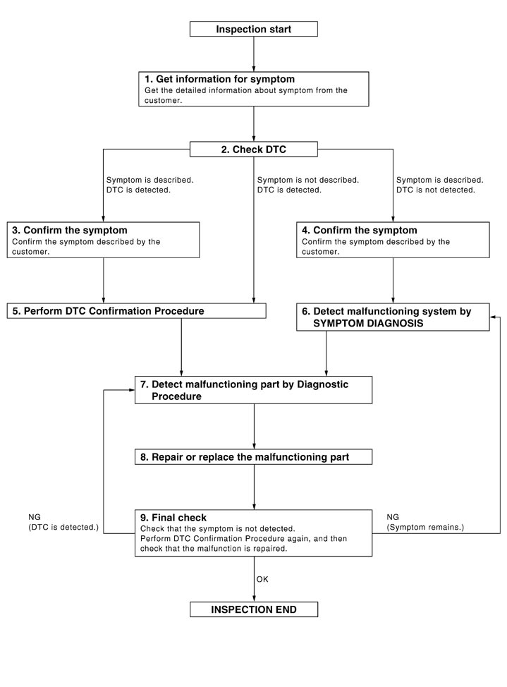
Perform DTC Confirmation Procedure for the detected DTC
, and then check that DTC is detected again.
At this time, always connect CONSULT-III to the vehicle, and check diagnostic results in real time.
If two or more DTCs are detected, refer to
DTC Inspection Priority Chart, and determine trouble diagnosis order.
NOTE:
Perform Component Function Check if DTC Confirmation Procedure is not included in Service Manual. This simplified check procedure is an effective alternative though DTC cannot be detected during this check.
If the result of Component Function Check is NG, it is the same as the detection of DTC by DTC Confirmation Procedure.Is DTC detected?
YES
>>GO TO 7.
NO
>>Refer to
Intermittent Incident.