Previous Next

DIESEL ENGINES

Checking cylinder compression on diesel engines is basically the same procedure as on gasoline engines except for the following:

  1. A special compression gauge adaptor suitable for diesel engines (because these engines have much greater compression pressures) must be used.
  2. Remove the injector tubes and remove the injectors from each cylinder.

    NOTE: Don't forget to remove the washer underneath each injector; otherwise, it may get lost when the engine is cranked.

  3. When fitting the compression gauge adaptor to the cylinder head, make sure the bleeder of the gauge (if equipped) is closed.
  4. When reinstalling the injector assemblies, install new washers underneath each injector.

    GENERAL ENGINE SPECIFICATIONS

    VALVE SPECIFICATIONS

    VALVE SPECIFICATIONS (CONT...)

    PISTON & RING SPECIFICATIONS

    PISTON & RING SPECIFICATIONS (CONT...)

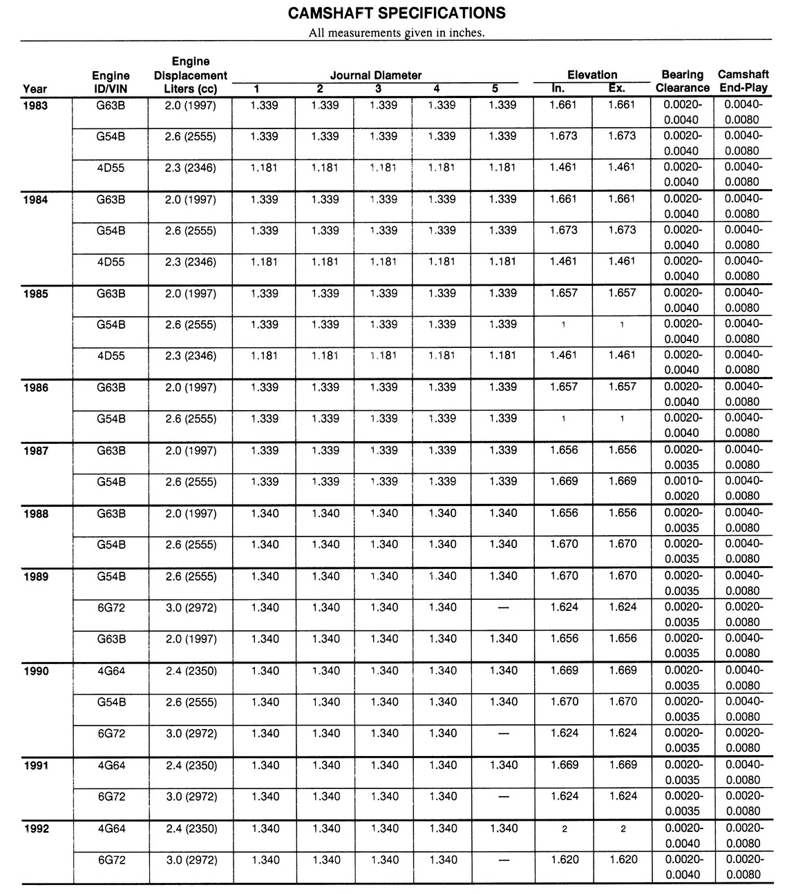
    CAMSHAFT SPECIFICATIONS

    CAMSHAFT SPECIFICATIONS (CONT...)

    CRANKSHAFT & CONNECTING ROD SPECIFICATIONS

    CRANKSHAFT & CONNECTING ROD SPECIFICATIONS (CONT...)

    TORQUE SPECIFICATIONS

Previous Next