Previous Next

Valve Lash

ADJUSTMENT

NOTE: The valve adjustment should be performed while the engine is cold. A Shim Replace Kit 498187100 will be needed to perform the valve adjustment.

1998

Fig. 1: Exploded view of the shim replace kit

  1. Before servicing the vehicle, refer to the precautions in the beginning of this section.
  2. Remove or disconnect the following:
  3. Turn the crankshaft pulley clockwise until the arrow mark on the camshaft is set to the position as shown.

    NOTE: The checking or adjusting the exhaust valve is performed from under the vehicle.

  4. Check the valve clearance:
  5. If any valve needs adjustment, perform the following, while referring to the accompanying illustrations:

    Fig. 2: Position the lifter notch as shown, to remove the shim

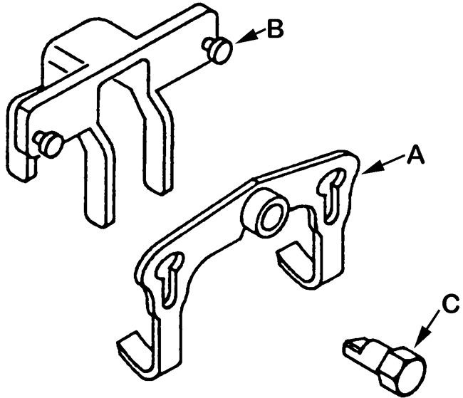
    Fig. 3: First install part "A" of the tool to the camshaft...

    Fig. 4: ...then part "B" under part "A" as shown

    Fig. 5: Turn part "C" until the adjusting shim can be removed

    1. Rotate the notch of the lifter outward by 45 degrees.
    2. Install part "A" of the Replacer onto the camshaft.
    3. Install part "B" of the Replacer as shown.
    4. Install part "C" and turn until part "B" pushes the lifter away.
    5. Insert tweezers into the notch of the valve lifter, and take out the shim.
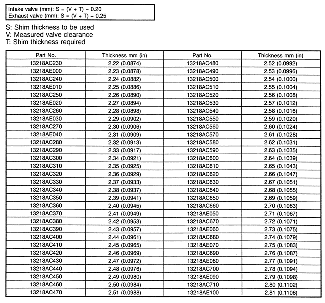
    6. Measure the thickness of the shim, then using the chart select and install a new shim and recheck the clearance.
  6. Remove the adjusting tools.
  7. Install or connect the following:
  8. Check the engine oil level.

    Fig. 6: Position the camshaft as shown to adjust No. 1 intake valve and No. 3 exhaust valve

    Fig. 7: Position the camshaft as shown to adjust No. 3 intake valve and No. 2 exhaust valve

    Fig. 8: Position the camshaft as shown to adjust No. 2 intake valve and No. 4 exhaust valve

    Fig. 9: Position the camshaft as shown to adjust No. 4 intake valve and No. 1 exhaust valve

    Fig. 10: Valve adjusting shim chart

1999–01
  1. Before servicing the vehicle, refer to the precautions in the beginning of this section.
  2. Adjustment should be performed when engine is cold.
  3. Remove or disconnect the following:
  4. When inspecting Nos. 1 and 3 cylinders remove the following:
  5. Air intake duct as a unit
  6. Resonator chamber
  7. Spark plug wires from Nos. 1 and 3 cylinders
  8. Blowby house from valve cover
  9. Engine undercover
  10. Timing belt cover on the right hand side
  11. Valve cover on the right hand side
  12. When inspecting Nos. 2 and 4 cylinders remove the following:
  13. Battery and battery tray
  14. Window washer motor connectors front and rear
  15. Rear gate glass washer hose from the washer motor
  16. Washer tank mounting bolts and secure out of the way
  17. Spark plug wires from Nos. 2 and 4 cylinders
  18. Blow by house from valve cover
  19. Timing belt cover on the right hand side
  20. Valve cover on the left hand side
  21. Set No. 1 cylinder to Top Dead Center (TDC).

    NOTE: When arrow mark on the left hand side comes exactly to the top, No. 1 cylinder piston is brought to TDC of the compression stroke.

  22. Check the valve clearance:
  23. If any valve needs adjustment, perform the following:
    1. Loosen the valve rocker nut and screw.
    2. Place a thickness gage in at as horizontal a direction as possible with respect to the vale stem and face.
    3. Adjust the screw until proper clearance is obtained.
    4. Tighten the rocker nut after adjusted.
  24. Install or connect the following:

Previous Next